![]() |
Спечённые порошковые магниты из редкоземельных металлов
Артикул:
Поставщик:
АО "Российская электроника"Описание
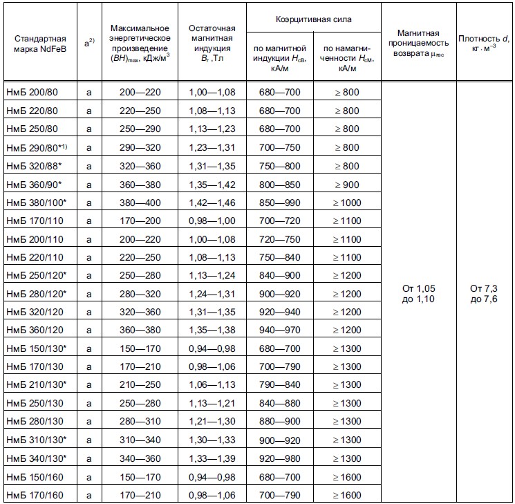
Спеченные магниты на основе редкоземельных материалов NdFeB и SmCo. Обладают максимальным из всех возможных, энергетическим произведением. Кроме того, постоянные магниты на основе SmCo обладают коррозионной стойкостью, повышенной термостойкостью и температурной стабильностью магнитных характеристик. В силу особенностей материала (метод изготовления, повышенная твердость) набор возможных форм постоянных магнитов ограничен дисками, пластинами, сегментами и кольцами



